作者:admin 发布时间:2022-12-13 10:42:01 分类:头条 浏览:285 评论:0
来源:华夏时报
新冠轻症和无症状感染者可进行居家隔离康复;当出现发热、咳嗽等症状,居家治疗不见好转时,可首选居住地附近的社区卫生服务中心就诊,或联系您的家庭医生寻求帮助。
北京多区已公布本区家庭医生联系方式
目前,北京多区已公布本区家庭医生(团队)及其负责提供服务的社区(村)范围和联系方式。如果您尚未签约家庭医生服务,可通过社区网格化服务途径,及时联系查找本社区家庭医生(团队),医务人员将根据您的症状和相关情况给出具体指导意见。
同时,对于辖区高龄、行动不便等感染新冠病毒的老年人,在开展健康评估的基础上,社区医务人员可提供上门巡诊或协助转诊。
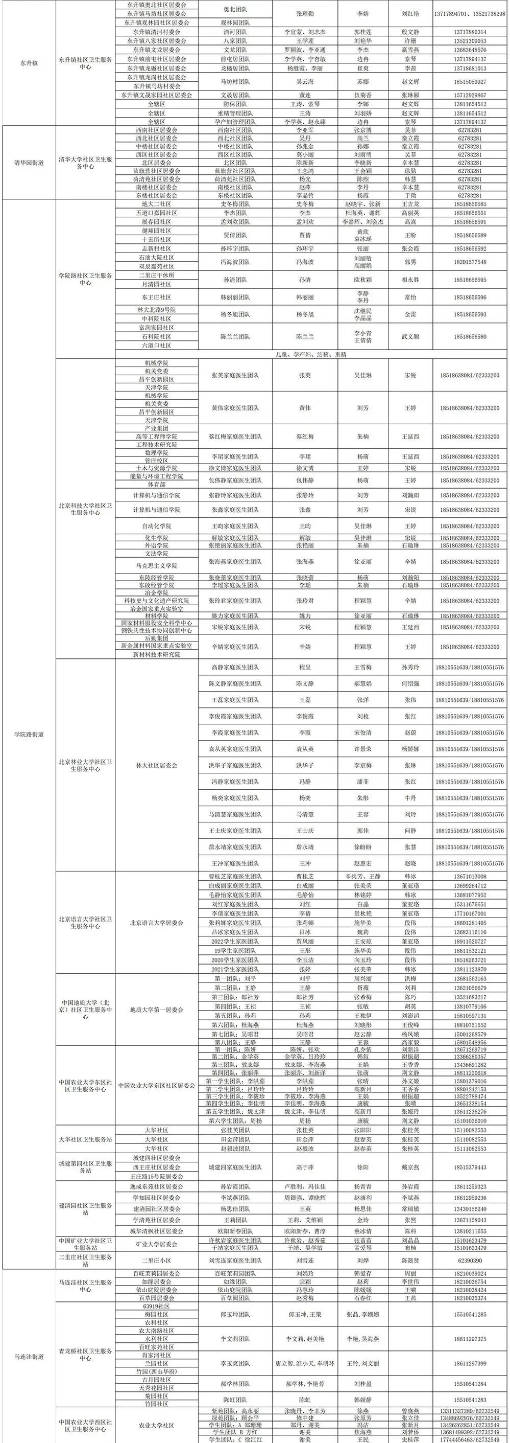
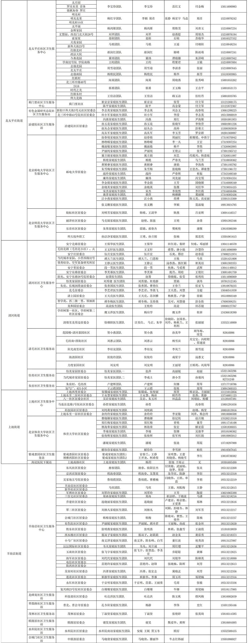
海淀区
12月12日,海淀区卫健委公布了该区家庭医生团队服务范围、联系方式,点击大图可以查看——






房山区
12月12日,房山区卫健委将该区345个家庭医生团队信息及服务范围进行公示,如居民有相关健康问题,请拨打家医团队联系电话进行咨询。


石景山区
12月12日,石景山区卫健委将该区119个家庭医生团队信息及服务范围进行公示,如居民有相关健康问题,请拨打家医团队联系电话进行咨询。

通州区
12月12日,通州区卫健委公布了该区家庭医生团队信息及服务范围——
↓↓↓


怀柔区
12月12日,怀柔区卫健委公布了该区107支家医团队联系方式及服务范围。
















延庆区
12日,延庆区卫健委公示了该区18个街道乡镇家庭医生团队信息及服务范围进行如居民有相关健康问题,请拨打家医团队联系电话进行咨询。
↓↓↓



















三大运营商删除行程卡用户数据
12月12日,中国信息通信研究院在官方公众号发文称,根据国务院联防联控机制综合组有关要求,12月13日0时起,正式下线“通信行程卡”服务,短信、网页、微信小程序、支付宝小程序、APP等查询渠道同步下线。
当行程卡成为历史后,此前存储在其中的用户数据如何处理,会否造成信息泄露成为了许多人关心的问题之一。
12月12日晚,新京报贝壳财经记者从中国移动方面获悉,中国移动高度重视客户个人信息保护,将按照《中华人民共和国数据安全法》《中华人民共和国个人信息保护法》等有关法律规定,自12月13日0时“通信行程卡”服务下线后,同步删除用户行程相关数据,依法保障个人信息安全。
据中国联通官微12日晚间消息,中国联通也将自12月13日0时“通信行程卡”服务下线后,同步删除用户行程相关数据,依法保障个人信息安全。
同日,中国电信也对公开表示,将同步删除“通信行程卡”用户行程相关数据。
“通信行程卡”于2020年2月底上线,是工信部组织中国信通院和移动等运营商推出防疫专用的公益性应用。此后数次迭代,添加了行程标星等功能。
根据工信部2022年5月26日公布的数据,行程卡用户查询次数累计已达到556亿次以上。上线初期,手机用户可通过服务,查询本人前14天到过的所有地市信息;2022年7月8日,工信部发布公告:根据《新型冠状病毒肺炎防控方案(第九版)》,“通信行程卡”查询结果的覆盖时间范围由“14天”调整为“7天”。短信、网页、微信小程序、支付宝小程序、“通信行程卡”APP等查询渠道同步进行应用版本更新。
12月12日,工信部信息通信经济专家委员会委员王春晖公开表示,“通信大数据行程卡”的数据分析的是“手机信令数据”,通过用户手机所处的基站位置获取,有严格的安全隐私保障机制,查询结果实时可得、方便快捷,为我国的疫情防控做出了重大贡献。
来源:北京各区卫健委、中国信息通信研究院官微、公开信息